Skip to content Skip to sidebar Skip to footer

Sucrose Molecular Structure : Sugar Sucrose Saccharose Molecule Chemical Structure Atoms Stock Photo Picture And Royalty Free Image Image 18212893, It has a role as an escherichia coli metabolite.

Sucrose Molecular Structure : Sugar Sucrose Saccharose Molecule Chemical Structure Atoms Stock Photo Picture And Royalty Free Image Image 18212893, It has a role as an escherichia coli metabolite.. Sucrose structure as mentioned above, sucrose is disaccharide, or a molecule made of two monosaccharides. These two components are in solution together, but are not bound to one another. It is made up of two monosaccharide molecules. This is an important process for the storage and compression of energy. Disaccharides are made up of two, linked monosaccharides and broken back down into the.

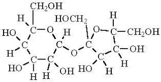
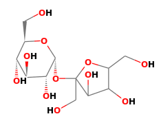
Sucrose is a molecule composed of two monosaccharides, namely glucose and fructose. The chemical or molecular formula for sucrose is c 12 h 22 o 11, which means each molecule of sugar contains 12 carbon atoms, 22 hydrogen atoms and 11 oxygen atoms. It is synthesized by the selective chlorination of sucrose in a multistep route that substitutes three specific hydroxyl groups with chlorine atoms. Plantarum locus proved conta … It derives from a sucrose.

Sucrose Molecule Structure Stock Vector Adobe Stock
Sucrose Molecule Structure Stock Vector Adobe Stock from as1.ftcdn.net
Sucrose is made up of one molecule of glucose and one molecule of fructose joined together. Sucrose is made up of one molecule of glucose and one molecule of fructose joined together. Sucrose is a molecule composed of two monosaccharides, namely glucose and fructose. Disaccharide composed of the two monosaccharides glucose and fructose. Iron sucrose is a type ii complex, with two oxygen atoms bonded to. This is an important process for the storage and compression of energy. The molecular formula of sucralose is c 12 h 19 cl 3 o 8, while the formula for sucrose is c 12 h 22 o 11. Sucrose or table sugar is obtained from sugar cane or sugar beets.

Sugars are categorized as monosaccharides or disaccharides.

This is an important process for the storage and compression of energy. The linkage between these two monosaccharides is called a glycosidic bond. Sucrose is a glycosyl glycoside formed by glucose and fructose units joined by an acetal oxygen bridge from hemiacetal of glucose to the hemiketal of the fructose.it has a role as an osmolyte, a sweetening agent, a human metabolite, an algal metabolite, a saccharomyces cerevisiae metabolite, an escherichia coli metabolite and a mouse metabolite. It is made up of two monosaccharide molecules. It has the molecular formula c 12 h 22 o 11. Sucrose, common sugar, chemical structure and formula sucrose, common sugar, chemical structure. They are glucose and fructose. The chemical formula of iron sucrose is c 12 h 29 fe 5 na 2 o 23.the iron sucrose molecule is a polymer with two main molecules; Sucrose is a disaccharide, meaning it is made by joining two sugar subunits. It is a disaccharide, a molecule composed of two monosaccharides: Sucrose, common sugar, chemical structure and formula sucrose, common sugar, chemical structure. Sucrose is produced naturally in plants, from which table sugar is refined. Sugars are categorized as monosaccharides or disaccharides.

Superficially, the sucralose molecule looks like the sugar molecule. Sucrose (chemical formula c 12 h 22 o 11) and an iron (iii) hydroxide (na 2 fe 5 o 8 •3(h 2 o)). Sucrose is commonly referred to as table sugar or cane sugar. It is a disaccharide, a molecule composed of two monosaccharides: For human consumption it is extracted and refined from sugarcane or sugar beet.

Sucrose Structural Formula Molecule Fructose Molecular Model Png 1200x567px Sucrose Area Biochemistry Black And White Brand
Sucrose Structural Formula Molecule Fructose Molecular Model Png 1200x567px Sucrose Area Biochemistry Black And White Brand from img.favpng.com
The glucose and fructose units are joined by an acetal oxygen bridge in the alpha orientation. The chemical or molecular formula for sucrose is c 12 h 22 o 11, which means each molecule of sugar contains 12 carbon atoms, 22 hydrogen atoms and 11 oxygen atoms. The linkage between these two monosaccharides is called a glycosidic bond. The type of sugar called sucrose is also known as saccharose. Sucrose, common sugar, chemical structure and formula sucrose, common sugar, chemical structure. Sucrose or table sugar is obtained from sugar cane or sugar beets. Each sugar molecule contains 12 carbon atoms, 22 hydrogen atoms, and 11 oxygen atoms. Structure of the sucrose utilization locus in a lactobacillus plantarum type strain was studied using pcr and southern hybridization.

Disaccharide composed of the two monosaccharides glucose and fructose.

It is a saccharide that is made in many different plants. Sucrose consists of one molecule of glucose connected. This is an important process for the storage and compression of energy. Each sugar molecule contains 12 carbon atoms, 22 hydrogen atoms, and 11 oxygen atoms. Sucrose is commonly referred to as table sugar or cane sugar. The type of sugar called sucrose is also known as saccharose. C 12 h 22 o 11. It forms when the monosaccharide sugars glucose and fructose react in a condensation reaction. Sucrose or table sugar is obtained from sugar cane or sugar beets. Vector sucrose molecule stock illustrations Sucrose is made up of one molecule of glucose and one molecule of fructose joined together. Sucrose is produced naturally in plants, from which table sugar is refined. Vector sucrose molecule stock illustrations

Negatively charged sucralfate binds, through ionic bond formation, to positively charged proteins on mucosal surfaces, thereby creating a protective coating and physical barrier. The molecular formula for sucrose is c 12 h 22 o 11. Sucrose or table sugar is obtained from sugar cane or sugar beets. For human consumption it is extracted and refined from sugarcane or sugar beet. It is a disaccharide, a molecule composed of two monosaccharides:

Sucrose Molecule Structure Stock Vector Adobe Stock
Sucrose Molecule Structure Stock Vector Adobe Stock from as1.ftcdn.net
Sucrose is produced naturally in plants, from which table sugar is refined. Hydrogen (white), carbon (grey), oxygen (red) Disaccharide composed of the two monosaccharides glucose and fructose. Sucrose is the scientific name for table sugar. Structure of the sucrose utilization locus in a lactobacillus plantarum type strain was studied using pcr and southern hybridization. Sucrose is table sugar—that ubiquitous sweet white crystal that sweetens our tea, coffee and apple pies, yet is also the villain blamed for tooth decay and o. Sucrose or table sugar is obtained from sugar cane or sugar beets. Plantarum locus proved conta …

Restriction map analysis revealed its high similarity to the sequenced sucrose utilization locus of pediococcus pentosaceus psrq1.

The type of sugar called sucrose is also known as saccharose. C 12 h 22 o 11. Sucrose, common sugar, chemical structure and formula sucrose, common sugar, chemical structure. It is synthesized by the selective chlorination of sucrose in a multistep route that substitutes three specific hydroxyl groups with chlorine atoms. This is an important process for the storage and compression of energy. Negatively charged sucralfate binds, through ionic bond formation, to positively charged proteins on mucosal surfaces, thereby creating a protective coating and physical barrier. Disaccharides are made up of two, linked monosaccharides and broken back down into the. Sucrose is a molecule composed of two monosaccharides, namely glucose and fructose. Sucrose is made from glucose and fructose units. It has the molecular formula c 12 h 22 o 11. It has the molecular formula c 12 h 22 o 11. The linkage between these two monosaccharides is called a glycosidic bond. They are glucose and fructose.